تجربه تلخ زلزله کرمانشاه در سال 1396، تجارب زیادی برای کارشناسان حوزه ساخت و ساز به همراه داشت. در این حادثه حتی ساختمانهای جدید و نوسازی که در فرآیند ساخت آنها از وال پستهای فلزی (مطابق با آیین نامه) استفاده شده بود (مانند ساختمانهای مسکن مهر)، به شدت آسیب دیدند. ریزش بسیاری از این ساختمانها به خوبی نشان داد فرآیند مقاوم سازی باید بیشتر مورد توجه قرار بگیرد.
لزوم طراحی وال پست
تا پیش از زلزله کرمانشاه و همینطور انتشار پیوست ششم استاندارد 2800، والپست به المانهای قائم یا نهایت افقی گفته میشد که به روشهای عموماً غیراصولی به سازه و دیوار متصل میشدند، به این امید که مانع خرابی دیوارهای غیرسازه ای در زمان زلزله شوند همچنین مشاهده شد که اتصالات غیراصولی و استفاده نابجا از میلگردها و نبشیها، چطور به آسانی موجب خسارتهای بزرگ جانی و مالی شدند. بعدها با افزایش مطالعات و مشاهدات، دیده شد که این المان برای بهبود عملکرد دیوار کافی نبوده و حتی ممکن است منجر به تأثیر مخرب بر عملکرد سازه شود، از این رو برای اصلاح این ضعف باید المانهای دیگری را به مجموعه دیوار و مهارهای آن اضافه نمود که در ادامه این المانها معرفی خواهند شد.
از آن پس، پیروی دقیق از آیین نامه وال پست اهمیتی دوچندان پیدا کرد. حاصل این سختگیریها، ساختمانهای جدیدی است که از استحکام، یکپارچگی و مقاومت بیشتری برخوردار هستند. خوشبختانه با توجه به اهمیت بالای طراحی و اجرای وادارها، آیین نامهها و نشریات متعددی برای راهنمایی طراحان و مجریان، تدوین و ارائه شدهاند. هر یک از این آییننامهها به بررسی جزء به جزء بخشی از فرآیند طراحی و اجرای وال پست میپردازند. به این ترتیب با در نظر گرفتن آنها، میتوان وال پستها را به طور اصولی و بدون اشکال، طراحی و نصب کرد.
وال پست چیست؟
قبل از هر چیز بهتر است با مفهوم وال پست آشنا شوید. در واقع وال پست به معنای نگهدارنده دیوار در مقابل نیروهای وارد بر دیوار است. مهم ترین هدف از اجرای وال پست پیشگیری از تغییر شکل بیرون از صفحه دیوارهای غیر سازه ای است. اگر سازه مقاوم سازی نشده باشد، با وارد آمدن اولین ضربه، دیوار دچار ترکهای جدی و به دنبال آن ریزش خواهد شد. نتیجه این اتفاق نه فقط خسارتهای مالی بسیار، بلکه حتی خسارتهای جانی جبران ناپذیری را به دنبال دارد. اجرای وال پست در ساختمان کمک میکند نیروی حاصل از این ضربهها، به فریم اصلی منتقل شود و دیوار انسجام و یکپارچگی خود را تا حد ممکن حفظ نماید. در نتیجه، آسیب کمتری به ساختمان و ساکنین آن وارد خواهد شد.
والپست دیوار به معنی نگهدارنده (Post) دیوار (Wall) در برابر نیروهای وارد بر آن میباشد. درواقع هدف اصلی در اجرای والپست، جلوگیری از تغییر شکل خارج از صفحه دیوارهای غیرسازهای بوده و شبیه به تیر یا ستون است و جزو سازه های عمودی یا افقی به شمار می رود. از این محصول برای متصل کردن دیوارها به تیرها، ستون ها، دال ها و… استفاده می شود. والپست هیچ نقشی در تحمل بارهای جانبی ناشی از زلزله ندارد. به عبارت دیگر با توضیحات فوق میتوان گفت والپست یک المان نیست، بلکه مجموعهای است که وظیفه مهار دیوارهای غیرسازهای را برعهده دارد و اجزای آن عبارتاند از:
1) وادار عمودی
2) وادار افقی
3) میلگرد بستر
4) اتصالات وال پست

مصالح تشکیل دهنده وال پست چیست؟
از نظر مصالح تشکیل دهنده به دو دسته فلزی و بتنی تقسیم میشوند که وال پست فلزی در سازه های دارای اسکلت فولادی و بتنی و وال پست بتنی در سازه های با مصالح بنایی کاربرد دارند. وال پست های فلزی یا فولادی را به شکل های ناودانی، نبشی و قوطی می سازند.
نحوه قرارگیری وال پست
وال پست ها را می توان به دو صورت قائم و افقی اجرا کرد.


ضوابط اجرای وال پست
با توجه به اهمیت بالای طراحی و اجرای نگهدارندهها، آیین نامهها و نشریات متعددی برای راهنمایی طراحان و مجریان، تدوین و ارائه شدهاند. هر یک از این آیین نامهها به بررسی جزء به جزء بخشی از فرآیند طراحی و اجرای وال پست میپردازند. به این ترتیب با در نظر گرفتن آنها، میتوان وال پستها را به طور اصولی و صحیح، طراحی و نصب کرد.
میتوان گفت مهمترین و اولین آیین نامه وال پست، پیوست ششم استاندارد 2800 است که بسیاری از نکات مربوط به طراحی لرزهای دیوارها را مورد بررسی قرار داده است. علاوه بر این پیوست و بندهایی از مبحث چهارم، ششم و هشتم مقررات ملی ساختمان، نشریه 729، نشریه 819، نشریه 714، نشریه 691 و آیین نامه ACI 549 از دیگر منابع مورد نیاز برای طراحی و اجرای اصولی وال پستها به شمار میروند. در بخش آیین نامه ها هر یک از این آیین نامهها به طور کامل معرفی خواهند شد. در ادامه ضوابطی را که برای اجرای صحیح و اصولی وال پستها باید در نظر گرفت عنوان خواهند شد.
-
پیوست ششم استاندارد 2800 ایران: ویرایش چهارم، بند پ6-1-4-2-1 (وادارها)
مطابق با این بند، در صورتی که طول دیوار از مقادیر مجاز براساس طراحی ( حداکثر 4 متر) بیشتر شود، از عضو قائم با مقطع فولادی یا بتنی (وادار) به عنوان تکیه گاه جهت مهار خارج از صفحه دیوار و اجزای مسلح کننده آن استفاده می شود.
قسمت پایینی وال پست باید با اتصال مفصلی به کف سازه متصل شود و به صورت کشویی به قسمت زیرین تراز سقف نیز (در راستای داخل صفحه) اتصال یابد تا امکان جابجایی درون صفحه دیوار فراهم شود. در مورد دیوارهای خارجی، روی سطح وادار باید به وسیله یک لایه پشم سنگ ضد رطوبت برای عایق بندی پوشانده شود و بر روی آن یک لایه مش الیافی یا رابیتس قرار میگیرد تا لایه نازک کاری دچار ترک خوردگی نشود.
-
نشریه 819: راهنمای طراحی سازهای و جزئیات اجرایی دیوارهای غیرسازهای
نشریه 819 یکی از منابع مهمی است که باید در اجرای وال پستها مورد توجه قرار گیرد. هدف اصلی طراحی این راهنما، مهار اصولی و صحیح دیوارها در برابر زلزله و به طور کلی جلوگیری از آسیب ساختمانها حین حوادثی مانند زمین لرزه است.
-
استاندارد 2800 ایران : ویرایش چهارم، بند 7-5-3 (دیوار غیر سازهای)
در این بند از استاندارد 2800 ویرایش چهارم، تمام شرایطی که باید در اجرای دیوار غیرسازهای لحاظ شود، آورده شده است. نحوه مهار شدن دیوار غیرسازهای به کمک وال پستهای فلزی و بتنی، نحوه بکارگیری هشتگیر، حداکثر طول مجاز دیوار غیرسازهای، حداقل ضخامت و حداکثر ارتفاع، از مواردی هستند که در این بند به تفصیل بیان شدهاند.
-
نشریه 729: راهنمای طراحی لرزهای دیوارهای بنایی غیرسازهای مسلح به میلگرد بستر
در ضابطه 729 آیین نامه وال پست، راههایی برای حل مشکل عدم شکل پذیری که موجب میشود دیوارهای غیرسازهای در برابر نیروهای لرزهای مقاومت کافی نداشته و دچار خسارت شوند پیشنهاد شده که مهمترین آن، تغییر در اتصال دیوارها به سازه است. در این نشریه توضیح داده میشود که چگونه میتوان با عدم اتصال سخت و مستقیم دیوارهای غیرسازهای به ساختمان، از فروریختن آن هنگام زمین لرزه جلوگیری کرد. این ضابطه 729 مواردی از جمله رفتار لرزهای دیوارهای بنایی، میلگرد بستر، الزامات اجرایی و… را در بر میگیرد.
-
مبحث چهارم مقررات ملی ساختمان : بند 4-9-1 (دیوارها)
بند 4-9 به “الزامات عمومی عناصر و جزئیات مهم ساختمان” اشاره دارد. اولین قسمت از این بند به دیوارها اختصاص داده شده است. لزوم مقاوم بودن دیوارهای خارجی نسبت به ضربه و حریق، عایق بودن نسبت به صدا و حرارت، یکپارچگی لایههای مختلف دیوار، مقاومت نمای خارجی دیوار نسبت به زمین لرزه و… از مواردی هستند که در این بخش عنوان میشوند و باید در اجرای وال پستها مورد توجه قرار گیرند.
-
مبحث ششم مقررات ملی ساختمان بند 6-5-2-2 (ضوابط مربوط به جداکنندهها)
زمانی که صحبت از اجرای وال پست میشود، بار وارده بر ساختمان اهمیت زیادی در طراحی پیدا میکند. در این بخش از مبحث ششم مقررات ملی ساختمان، محاسبه وزن جداکنندهها و تأثیر آنها بر بار زنده و مرده ساختمان مورد بررسی قرار گرفته است. این محاسبات برای تعیین نیروی زلزله بسیار حائز اهمیت هستند.
-
مبحث هشتم مقررات ملی ساختمان بند 8-5-5-7، بخش پ (دیوارهای جداگر)
این بخش از مقررات ملی ساختمان، تمام جزئیات لازم را در خصوص طراحی و اجرای جداکنندهها در اختیار شما قرار میدهد. حداقل ضخامت دیوار جداکننده، حداکثر ارتفاع مجاز، حداکثر طول آزاد، نحوه مهار به کمک ملات، ستونک و…، همگی از مواردی هستند که به تفصیل و به طور کامل در این بند بیان شدهاند. آشنایی کامل با وال پستها، انواع مختلف آنها، نحوه اجرا، ضوابط اجرایی و… کمک میکند تمام فرآیند ساخت به شکلی اصولی و ایمن پیش برود. این همان هدفی است که هر سازنده باید در پیش بگیرد. مطابق با این بند آیین نامه در خصوص اجرای وال پست موارد زیر باید رعایت گردد:
- حداکثر ارتفاع مجاز دیوار غیرسازه ای از تراز کف مجاور 3.5 متر می باشد. در صورت تجاوز از این حد، باید با تعبیه ملاف های افقی به گونه مناسبی به تقویت دیوار جداگر مبادرت گردد.
- حداکثر طول آزاد دیوار غیرسازه ای بین دو پشت بند یا کلاف نباید از 40 برابر ضخامت دیوار و یا 5 متر بیش تر باشد، درغیر این صورت، لازم است با تعبیه مهار قائم، این الزام محقق شود. مهار قائم (وال پست قائم ) باید در به گونه مناسبی در کف و سقف طبقه مهار شود.
- لبه قائم جداگرها نبايد آزاد باشد. لبه جداگر بايد به ديوار يا جداگر عمود بر آن يا يك ستونك، به نحو مناسب متصل گردد. ستونك مي تواند از فولاد، بتن مسلح يا چوب ساخته شود. براي ستونك مي توان از يك ناوداني نمره 6 (يا نيمرخ فولادي معادل آن)، بتن مسلح يا چوب استفاده كرد. چنانچه طول ديوار جداگر پشت بند كمتر از 1/5متر باشد لبه آن مي تواند آزاد باشد.
تفاوت دیتیل های اجرایی ارائه شده در پیوست ششم با سیستم قبلی در چیست ؟
در دیتیل های مرسوم اجرای وال پست از نبشی سرتاسری کنار ستون و متصل به زیر تیر برای مهار دیوار در برابر نیروهای جانبی لرزه ای استفاده می شد. این دیتیل ها بخاطر سختی که ایجاد می کردند سبب جذب نیروی بیشتر شده و خطر تخریب و آسیب را بالاتر می برند. در واقع در این روش اجرا وادارها به نقاط حساس سازه ای متصل می شوند که باعث ایجاد آسیب در اعضای سازه ای می گردند.
به عنوان مثال وقتی وادارهای کنار ستون با فاصله کمی ( حدود 5 سانتی متر) از ستون به زیر تیر متصل می شود. در واقع اتصال وادار به تیر در ناحیه حفاظت شده تیر انجام شده است و این موضوع به صراحت در مباحث آیین نامه ای لرزه ای منع شده است. چراکه در این ناحیه نباید هیچ گونه اتصالی به تیر صورت گیرد. ( به طور تقریبی طول ناحیه حافظت شده از بَر ستون، حدود دو برابر ارتفاع تیر می باشد.)
به همین خاطر پیوست ششم استاندارد 2800، باتوجه به نوع دیوارها توصیه های زیر را ارائه داده است؛
دیوار های خارجی : دیوارهایی که بین دو ستون در یک قاب خمشی و یا بین دیوار برشی و ستون قرار می گیرند.این دیوارها بایستی به نحوی مناسب در سه سمت قاب جداسازی شده و در برابر نیروهای خارج ار صفحه نیز مهار گردند.
دیوار داخلی : دیوارهایی که داخل پلان و در تقاطع با دیوارهای اصلی هستند.
دیوار خارجی بایستی به اندازه حداکثر تغییرمکان نسبی طبقه یا یک صدم ارتفاع طبقه (کف تا کف طبقه) یا 3 سانتی متر، هرکدام بیشتر بود،ازستون یا دیوار برشی اطراف دهانه فاصله داشته باشند.
اتصال دیوار به سقف یا تیر در اجرای وال پست چگونه است؟
متصل کردن دیوار به تیر یا سقف در زمان اجرای وال پست باید در جهت بیرون صفحه و توسط ناودانی یا نبشی انجام شود. علاوه بر این اتصال دیوار به سقف یا تیر باید در راستای درون صفحه ای لغزشی یا اتصال کشویی انجام شود. به این نکته نیز توجه داشته باشید که برای اتصال ناودانی یا نبشی به دیوار نباید از جوش، پیچ و میخ استفاده کنید. برای جلوگیری از حرکت دیوار در زمان وقوع زلزله و… باید مطابق به نشریه 729 فاصله بین مرکز تا مرکز قطعات مربوط به اتصال نبشی یا ناودانی حداکثر 1.5 متر باشد. علاوه بر این مطابق با نشریه 729 باید حداقل طول همپوشانی بین ناودانی یا نبشی با دیوار حدود 30 میلیمتر باشد. فاصله جداسازی از قسمت زیر سقف نیز باید حدود 25 میلیمتر باشد. میزان بال ناودانی یا نبشی نیز می تواند به اندازه حداقل 55 میلیمتر باشد.
اتصال دیوار به ستون یا دیوار برشی در اجرای وال پست چگونه است؟
متصل نمودن لبه قائم دیوار به دیوار برشی یا ستون سازه باید به گونه ای در زمان اجرای وال پست انجام شود که هیچ نوع مانعی در مقابل جابجایی نسبی دیوار ایجاد نگردد. می توان گفت اتصال باید به کمک روش مناسبی انجام شود که جابجایی ایجاد شده هیچ نیروی اضافه ای را روی سطح دیوار اعمال نکند. اتصال باید قابلیت تحمل کلیه بارهای خارج از صفحه را داشته باشد.
فلسفه طراحی وال پست
به منظور بررسی عملکرد دیوار و اتصالات آن پس از محاسبه نیروهای وارده شامل بارثقلی، بار زلزله، باد و ضربه و تعیین عکس العمل ها، باید با انجام تحلیل و ترکیب بارهای وارده نسبت به بررسی نیروهای وارده بر مهارها اقدام و با میزان تحمل آنها مقایسه شود. کنترل مهارها و خود دیوار باید برای موارد زیر انجام شود که عبارت اند از:
- اتصالات باید قابلیت تحمل نیروی برشی ناشی از بارهای جانبی را داشته باشند
- دیوار باید قابلیت تحمل نیروی برشی و خمشی خارج از صفحه وارده بر آن را داشته باشد.
- دیوار و اتصالات آن باید قابلیت تحمل نیروهای وارده از نما و اتصالات آن را داشته باشند.
- نیروی زلزله باید در جهت افقی به مرکز جرم دیوار وارد شود و با نیروهای بهره برداری وارد به آن ترکیب گردد.
طراحی میلگرد بستر، یا بست برای مهار خمشی خارج از صفحه دیوار بنایی
طراحی دیوارهای بنایی برای تحمل خمش خارج از صفحه ناشی از بارهای جانبی، همانند تمامی اعضای سازه ای و غیرسازه ای، به هردو عامل تقاضا و ظرفیت وابسته است. از آنجا که مقدار ظرفیت (مقاومت) یک دیواربنایی ارتباط مستقیم با مقدار سختی آن دارد و سختی، عامل تعیین کننده الگوی توزیع بارهای وارد بر دیوار است، تغییر در مقدار ظرفیت دیوار به تغییر در تقاضای وارد به دیوار منجر خواهد شد. به این ترتیب، طراحی این دیوارها فرایندی تکراری را شامل می شود.
این فرایند و ساختار محاسباتی و کنترلی آن به طور کامل در آیین نامه Eurocode 6-Part 1-1 و در نشریه 729 سازمان برنامه و بودجه کل کشور ارائه شده است. علاوه بر این، تعیین مقاومت خمشی خارج از صفحه دیوارهای بنایی مسلح و غیرمسلح در استاندارد ACI530-13 نیز بیان شده است. با توجه به وجود مبنا، تعاریف و روابط مشترک در هر سه مرجع عنوان شده، در ادامه روند دنبال شده توسط این آیین نامه ها معرفی می شود.
کنترل مقاومت دیوارهای بنایی و طراحی وال پست
مطابق با مطالب بیان شده در بند پ6-1-4-2 پیوست ششم استاندارد 2800 در مورد دیوارها، دیوارهای بلوکی با توجه به عملکرد دو طرفه آنها در جهت افقی باید با استفاده از ابزار مناسب مسلح شوند. در شکل 4 نحوه قرارگیری میلگردهای بستر نشان داده شده است.

مطابق با ضابطه 729 مقاومت مورد نیاز دیوارهای بنایی غیر سازه ای لازم است برای تقاضای (بارهای) موجود تامین شوند، به طوری که مقاومت طراحی دیوار از تقاضای مورد نیاز کوچکتر نباشد. با توجه به این که رفتار دیوارهای غیرسازه ای با ضخامت های متعارف ( کمتر از 250 میلی متر) عمدتا به صورت خارج از صفحه می باشد، لذا همواره مقاومت خمشی حاکم می باشد.
مقاومت طراحی
مقاومت طراحی دیوار از حاصلضرب مقاومت اسمی دیوار در ضریب کاهش مقاومت به دست می آید.

ضریب کاهش مقاومت
در دیوارهای بنایی غیرمسلح ضریب کاهش مقاومت خمشی برابر 0.6 و در دیوارهای بنایی مسلح این ضریب برابر 0.9 می باشد. در صورتی که دیوار بنایی تنها دارای میلگردهای بستر در امتداد افقی باشد، ضریب کاهش مقاومت خمشی افقی برابر 0.9 و ضریب کاهش مقاومت خمشی قائم برابر 0.6 می باشد. همانطور که در شکل 5 نشان داده شده است، منظور از خمش افقی، خمشی است که در آن امتداد ترک ها عمود بر بند بستر بوده و منظور از خمش قائم، خمشی است که در آن امتداد ترک ها موازی بند بستر باشند. بدیهی است که اگر دیوار در هر دو جهت افقی و قائم مسلح باشد، ضریب کاهش مقاومت برای خمش افقی و قائم برابر 0.9 خواهد بود و اگر دیوار به کلی فاقد تسلیحات باشد، ضریب کاهش مقاومت در هر دو امتداد برابر 0.6 می باشد.

با توجه به مطالبی که تا کنون در این بخش مقاله بیان شد،برای دیوارهای غیرسازه ای نیاز به اجرای وال پست ها می باشد. در ادامه نحوه طراحی وال پست ها را شرح داده می شود.
مثال حل شده برای طراحی وال پست
صورت مسئله:
مطلوب است طراحی وال پست برای برش مقطع در دیوار به طول 10 متر و ارتفاع 6 متر که با استفاده از بلوک AAC اجرا میگردد.

فرضیات مسئله:
دیوار واقع در طبقه ششم از یک ساختمان 10 طبقه مسکونی واقع در تهران بوده و نوع خاک تیپ 2 میباشد.
وزن بلوک AAC با ملات ماسه سیمان 600 کیلوگرم بر متر مکعب میباشد.
حل مسئله:
قدم اول: ضخامت و ارتفاع دیوار را مطابق با ضوابط مطرح شده در بند 7-5-3 استاندارد 2800 ویرایش چهارم و بند پ8-5-5-7 مبحث هشتم مقررات ملی ساختمان ویرایش 1398 در خصوص اجرای وال پستها کنترل میکنیم تا تشخیص دهیم آیا دیوار نیاز به وال پست دارد یا خیر. مطابق ضوابط آییننامه در صورتی که ارتفاع دیوار بیش تر از 3.5 متر یا 30 برابر عرض دیوار باشد و یا طول آن بیش از 4 متر و یا بیشتر از 40 برابر عرض دیوار باشد نیاز به وال پست داریم. با توجه به طول و ارتفاع دیوار نیاز به طراحی سه وادار قائم و یک وادار افقی داریم.

قدم دوم: وزن مصالح به کار رفته در دیوار (جنس بلوکها و نوع ملات) را مشخص میکنیم. وزن هر متر مربع دیوار با آجر مجوف سفالی به ضخامت 15 سانتی متر را حساب کرده و سپس باتوجه به سطح بارگیر وادار میانی، بار خطی گسترده روی دیوار را بدست میآوریم.

| دیوار 15 سانتیمتری پیرامونی با بلوک AAC | ||||
| ردیف | نام مصالح | وزن واحد (kg/m3) | ضخامت (m) | وزن (kg/m2) |
| 1 | آجر مجوف سفال با ملات ماسه سیمان | 600 | 0/15 | 90 |
| 2 | پلاستر با ملات ماسه سیمان | 2100 | 0/03 | 63 |
| 3 | اندود گچ و خاک | 1600 | 0/02 | 32 |
| 4 | اندود سفیدکاری | 1300 | 0/01 | 13 |
| 5 | جمع کل | – | – | 198 |
قدم سوم: طراحی وادارهای قائم و افقی
در طراحی مورد نظر با توجه به طول دیوار که 15 متر است مطابق با بند پ6-1-4-2-1 و بند پ6-1-4-2-4 پیوست ششم استاندارد 2800 نیاز به طراحی سه وادار قائم و یک وادار افقی داریم که طراحی مشابه دارند، به همین دلیل تنها روند محاسبه یک وادار افقی و یک وادار قائم از آنها را قرار میدهیم.
| داده های پایه | |
| شهر | تهران |
| لرزه خیزی | خیلی زیاد |
| نوع خاک | تیپ 2 |
| ارتفاع تیپ طبقات | 6 |
| تعداد طبقات | 10 |
| شتاب مبنای طرح (A) | 0.35 |
| ضریب اهمیت جزء (Ip) | 1.4 |
| ضریب بزرگنمایی جزء (ap) | 1 |
| ضریب رفتار جزء (Rpu) | 2.5 |
| نوع بلوک | بلوک AAC ضخامت 15 سانتی متری |
طراحی وادار قائم
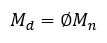
در این بخش طراحی وال پست دیوارهای خارجی، اثرات هم زمانی بارهای ثقلی با بارهای لرزهای یا باد ( هر کدام که حاکم باشد) منظور شده است. بار زلزله وارد بر دیوارهای پرکننده خارجی، براساس ضوابط مربوط به اجزای غیرسازهای و رابطه ارائه شده در بند 4-2-1-1 تعیین میشود. حال با استفاده از رابطه 4-1 استاندارد 2800 که محاسبه توزیع نیروی جانبی وارد بر اجزای غیرسازهای را به روش تحلیل استاتیکی معادل نشان داده است، مقدار نیروی وارده ناشی از زلزله را محاسبه میکنیم.

Vpu نیروی جانبی وارده در هر دو راستای داخل و خارج صفحه به دیوار میباشد.
تذکر: در جدول 4-1 استاندارد 2800 ضرایب جزء معماری برای دیوارهای خارجی غیرسازهای به ترتیب ap=1 و Rpu=2.5 میباشد.
توجه شود در رابطه فوق Z ارتفاع مرکز جرم دیوار طبقه ششم است. همچنین مطابق با بند 4-1-3 استاندارد 2800 ضریب اهمیت جزء برای دیوار پیرامونی به دلیل لزوم حفظ پایداری آن پس از زلزله 1.4 میباشد.

مقدار Vpu در هیچ حالت نباید از Vpu (min) کمتر و از Vpu (max) بیشتر باشد.

حال وادار میانی را به صورت تیری دو سر مفصل به طول 6 متر تحت بار گسترده خطی 358 کیلوگرم بر متر در نظر گرفته و مقطع مورد نظر آن را تحت خمش و برش طراحی می کنیم.
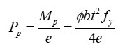
طراحی خمشی وادار قائم
ابتدا مقاومت خمشی اسمی را محاسبه میکنیم تا براساس آن مقدار اساس مقطع پلاستیک مورد نیاز را بدست بیاوریم.

مقطعی را باید در نظر گرفت که اساس مقطع پلاستیک آن از مقدار محاسباتی بیشتر باشد. (لازم به ذکر است که ابعاد مقطع انتخابی بایستی باتوجه به محدودیتهای قرارگیری بلوک داخل مقطع بوده و همچنین اندازه کافی جهت مهار خارج از صفحه بلوکها نیز دارا باشد) به همین دلیل مقطع قوطی زیر را برای دیوار در نظر می گیریم. (امکان قرارگیری بلوک 15 سانتی داخل مقطع)

نکته مهم : طراحی ما براساس Zx مقطع انجام می شود چراکه همانگونه که در شکل 6 مشاهده گردید در راستای داخل صفحه دیوار اتصال فوقانی وادار به صورت کشویی بوده و مقطع در راستای داخل صفحه در برابر جابجایی مقید نشده است پس به صورت تئوری لنگر را تحمل نمی کند (نیازی به اساس مقطع Zy نیست)
طراحی برشی وادار قائم
مقاومت برشی اسمی Vn مطابق با بند 10-2-6-4 مبحث دهم مقررات ملی بر اساس حالتهای حدی تسلیم تنش و کمانش برشی به صورت زیر محاسبه میشود:

برای تمام مقاطع بجز مقاطع لوله ای از رابطه زیر استفاده میشود:

بنابراین مقطع قوطی BOX 100X6.3 به عنوان وادار قائم پاسخگوی بار وارده ناشی از وزن بلوک های ACC میباشد.
طراحی وادار افقی
در این بخش به طراحی وادار افقی موجود در وال پست دیوارهای خارجی میپردازیم:
طراحی خمشی وادار افقی
باتوجه به اتصالات مفصلی وادار افقی به وادارهای قائم، طول دهانهی آزاد به منظور طراحی والپست افقی را بیشترین حد فاصله بین وادارهای قائم درنظر میگیریم. همانطور که در شکل 6 می بینید بیشترین طول آزاد 4 متر می باشد.

مقطعی را باید در نظر گرفت که اساس مقطع پلاستیک آن از مقدار محاسباتی بیشتر باشد. (لازم به ذکر است که ابعاد مقطع انتخابی بایستی باتوجه به محدودیت های قرارگیری بلوک داخل مقطع بوده و همچنین اندازه کافی جهت مهار خارج از صفحه بلوک ها نیز دارا باشد) به همین دلیل مقطع قوطی زیر را برای دیوار در نظر می گیریم. (امکان قرارگیری بلوک 15 سانتی داخل مقطع)

بنابر محاسبات فوق مقطع قوطی BOX 100X6.3 به عنوان وادار افقی پاسخگوی بار وارده ناشی از وزن بلوک های ACC می باشد.
طراحی دیوار غیر سازه ای
ابعاد دیوار به همراه شرایط تکیه گاهی مورد نظر به صورت شکل 7 میباشد.

فرضیات اولیه در حل مسئله :
1) واحدهای بنایی از نوع بلوک AAC با ضخامت بلوک 150 میلیمتر و ضخامت پوسته 21 میلیمتر
2) ملات مصرفی از نوع N بوده و از سیمات پرتلند و آهک در ساخت آن استفاده شده است.
3) مقاومت فشاری واحد بنایی 14 مگاپاسگال و مقاومت فشاری دیوار برابر 7 مگاپاسگال است.
4) تنش تسلیم میلگردهای بستر برابر 450 مگاپاسگال است.
5) طراحی بر اساس دیوار طبقه ششم میباشد.
5) دیوار در هر چهار طرف دارای تکیه گاه مفصلی میباشد.
با توجه به این که این دیوار یک دیوار پیرامونی است پس ضخامت آن نباید از 150 میلیمتر کمتر در نظر گرفته شود بلوکهای این دیوار یا ضخامت 150 میلیمتر و طول 300 میلیمتر و ارتفاع 200 میلیمتر در نظر گرفته میشود.
همچنین چون فاصله میلگردهای بستر نباید از 500 میلیمتر بیشتر شود پس ارتفاع بلوکها نیز نباید از 250 میلیمتر بیشتر در نظر گرفته شود.
برای شروع محاسبات میزان میلگرد بستر را حداقل در نظر میگیریم مشخصات آنها به شرح زیر است :
حداقل میلگرد بستر ممکن برای دیوار به صورت میلگرد بستر با قطر مفتول 4 میلیمتر و در هر 200 میلیمتر از ارتفاع دیوار در نظر گرفته میشود.

گام اول) محاسبه ظرفیت خمشی دیوار با میلگرد بستر حداقل
براساس میلگرد بستر بدست آمده، ظرفیت خمشی دیوار در دو امتداد افقی و قائم به صورت زیر به دست می آید.
1-1- ظرفیت خمشی دیوار در امتداد قائم
در این امتداد دیوار غیرمسلح بوده و ظرفیت خمشی اسمی دیوار برای یک متر طول دیوار براساس رابطه ی 5-3 نشریه 729 به صورت زیر خواهد بود. مدول گسیختگی fr در امتداد عمود بر بند بستر از جدول 2-5 نشریه 729 بدست آمده است.

براساس بند 5-2-3 نشریه 729 ظرفیت خمشی طراحی از حاصل ضرب ظرفیت خمشی اسمی در ضریب مقاومت 0.6 بدست میآید. بنابراین داریم:

2-1- ظرفیت خمشی دیوار در امتداد افقی
در امتداد افقی دیوار مسلح یوده و ظرفیت خمشی اسمی آن برای یک متر ارتفاع دیوار طبق رابطه 5-6 نشریه 729 بدست میآید.

براساس بند 5-3-3 ضریب کاهش مقاومت دیوارهای بنایی مسلح برابر 0.9 میباشد، لذا ظرفیت خمشی طراحی یک متر از ارتفاع دیوار در جهت افقی برابر است با:

گام دوم) محاسبه تقاضای خمشی وارده بر دیوار
براساس بند 4-2 نشریه 729 فشار ناشی از بار زلزله بر روی دیوار برابر است با:

براساس جدول 1-10-6 مبحث ششم که توسط سازمان هواشناسی کشور ارائه شده؛ سرعت مبنای باد در شهر تهران را 100 کیلومتر بر ساعت در نظر میگیریم. با استفاده از رابطهی 5-2 نشریه 729 فشار باد به صورت زیر بدست میآید.

با توجه به اینکه فشار ناشی از باد بیشتر از فشار ناشی از زلزله میباشد، لذا در طراحی از فشار ناشی از باد استفاده خواهد شد. بنابراین فشار طراحی برابر است با:

با توجه به اینکه دیوار پیرامونی است و در نظر گرفته میشود که رفتار دو طرفه دارد؛ لذا برای محاسبه تقاضای خمشی از بند 4-5-3 نشریه 729 استفاده میشود. با توجه به شرایط تکیه گاهی دیوار، ضریب خمش را میتوان از طریق جدول 4-6 نشریه 729 بدست آورد. پارامترهای لازم به صورت زیر میباشند:

همانطور که طبق فرضیات مسئله شرایط تکیه گاهی دیوار مورد نظر را از چهار طرف مفصلی در نظر گرفتیم؛ حال با استفاده از درونیابی از روی جدول 4-6 نشریه 729 با شرایط تکیه گاهی E و درون یابی در سطر بین 0.5 و 0.75 ضریب خمشی برابر 0.034 را استخراج میکنیم.
1-2-تقاضای خمشی در امتداد افقی
متعاقبا میتوان با استفاده از رابطه 4-8 نشریه 729 تقاضای خمشی نهایی را در امتداد افقی دیوار به صورت زیر بدست آورد.

2-2-تقاضای خمشی در امتداد قائم
با استفاده از رابطه 4-9 نشریه 729 میتوان تقاضای خمشی نهایی را در امتداد قائم دیوار به صورت زیر بدست آورد.
![]()
گام سوم) مقایسه ظرفیت با تقاضا
براساس نتایج به دست آمده مشخص است که ظرفیت دیوار کافی نمیباشد چرا که:
![]()
بنابراین دیوار جوابگو نبوده و لازم است تقویت شود.
راهکارهای تقویت دیوار
به منظور تقویت دیوار میتوان بنابر نشریه 729، راهکارهای زیر را مدنظر قرار داد.
- افزایش ضخامت دیوار
- افزایش ضخامت پوسته دیوار
- پر کردن حفره بلوکها با استفاده از دوغاب
- بهبود ملات مصرفی ( استفاده از ترکیب سیمان پورتلند و آهک)
- افزایش تسلیحات دیوار
- فراهم کردن تکیه گاه گیردار برای دیوار
- تقسیم دیوار به پانل های کوچک تر یا تعبیه کلاف (تکیه گاه) یا پشتند (ستونچه)
افزایش ضخامت دیوار چندان راهکار مناسبی نمیباشد چراکه علاوه بر افزایش وزن دیوار، منجربه کاهش فضای مفید ساختمان نیز خواهد شد. همچنین فراهم کردن تکیه گاه گیردار همواره میسر نبوده و معمولا نیاز به جزییات اجرایی خاصی دارد. تقسیم دیوار به پانلهای کوچکتر نیاز به قرار دادن کلاف های بتنی مسلح در دل دیوار دارد که برای دیوارهای غیر سازه ای روش پر هزینهای میباشد. لازم به توضیح است که معمولا افزایش مقاومت فشاری دیوار نیز تاثیر بسیار کمی در افزایش مقاومت خمشی آن دارد. در ادامه از چند مورد از راهکارهای فوق به منظور طراحی دیوار استفاده میکنیم.
– راهکار افزایش تسلیحات به همراه افزایش قطر میلگرد بستر و بهبود ملات و استفاده از دوغاب
اگر علاوه بر استفاده از ملات نوع N با استفاده از ترکیب سیمان پرتلند و آهک، بخشی از حفره های بلوکها با دوغاب پر شوند، مقاومت خمشی قائم دیوار بهبود چشمگیری خواهد یافت. در این بخش فرض میشود 25 درصد حفره های دیوار با دوغاب پر خواهند شد. در این حالت مدول گسیختگی دیوار در جهت قائم برابر 0.52 مگاپاسکال در نظر گرفته میشود.
گام اول) محاسبه ظرفیت خمشی دیوار با میلگرد بستر حداقل
1-1- ظرفیت خمشی دیوار در امتداد قائم

2-1- ظرفیت خمشی دیوار در امتداد افقی
در امتداد افقی دیوار مسلح یوده و ظرفیت خمشی اسمی آن برای یک متر ارتفاع دیوار طبق رابطه 5-6 نشریه 729 بدست می آید.

گام دوم) محاسبه تقاضای خمشی وارده بر دیوار
براساس محاسبات انجام شده در بخش 2-2 مشاهده شد که فشار ناشی از باد بیشتر از فشار ناشی از زلزله میباشد، لذا در طراحی از فشار ناشی از باد استفاده خواهد شد. بنابراین فشار طراحی برابر است با:

با توجه به اینکه دیوار پیرامونی است و در نظر گرفته می شود که رفتار دو طرفه دارد؛ لذا برای محاسبه تقاضای خمشی از بند 4-5-3 نشریه 729 استفاده می شود. با توجه به شرایط تکیه گاهی دیوار، ضریب خمش را میتوان از طریق جدول 4-6 نشریه 729 بدست آورد. پارامترهای لازم به صورت زیر می باشند:
![]()
همانطور که طبق فرضیات مسئله شرایط تکیه گاهی دیوار مورد نظر را از چهار طرف مفصلی در نظر گرفتیم؛ حال با استفاده از درون یابی از روی جدول 4-6 نشریه 729 با شرایط تکیه گاهی E و درون یابی در سطر بین 0.5 و 0.75 ضریب خمشی برابر 0.031 را استخراج میکنیم.
2- تقاضای خمشی در امتداد افقی و قائم
متعاقبا می توان با استفاده از رابطه 4-8 و 4-9 نشریه 729 تقاضای خمشی نهایی را در دو امتداد افقی و قائم دیوار به صورت زیر بدست آورد.

گام سوم) مقایسه ظرفیت با تقاضا
اگرچه تقاضای خمشی قائم از ظرفیت قائم بیشتر است اما این مقدار بسیار ناچیز بوده و عملا طرح را میتوان قابل قبول دانست. در نتیجه طرح نهایی برای دیوار به صورت زیر میباشد.
- استفاده از بلوک AAC با ضخامت 150 میلی متر
- ضخامت پوسته حداقل 60 میلی متر
- ملات مصرفی از نوع N بوده و در آن از ترکیب سیمان پرتلند و آهک استفاده شود
- 25 درصد حفره ها (در امتداد ارتفاع دیوار) لازم است با دوغاب پر شوند.
- میلگرد بستر با قطر مفتول 5 میلی متر در فواصل 200 میلی متری در ارتفاع دیوار
طراحی اتصالات دیوار
با توجه به اینکه دریفت غیرالاستیک طبقات از 0.3 درصد بیشتر میباشد، طبق بند 6-4-3، لازم است از اتصال جداکننده به منظور اتصال دیوار به قاب استفاده شود. برای اتصال دیوار به ستون و نیز تیر فوقانی از اتصال جداشده با نبشی استفاده میشود. اتصال دیوار به کف مطابق بند 6-4-1 توسط ملات و اتصال دیوار به سقف یا تیر نیز مطابق بند 6-4-2 صورت میپذیرد.
اتصال دیوار به سقف یا تیر
اتصال دیوار به سقف یا تیر لازم است به صورت مفصلی باشد بدین ترتیب ظرفیت تغییر شکلی دیوار در جهت عمود بر صفحه بیشتر شده و به واسطه دریفت طبقات (در امتداد عمود بر صفحه دیوار)، مفصل پلاستیک در بالای دیوار تشکیل نخواهد شد. در صورتی که اتصال به کف گیردار باشد، در دریفتهای شدید عمود بر صفحه دیوار تنها یک مفصل پلاستیک در پای دیوار میتواند تشکیل شود. لازم است دیوار غیرسازهای متاثر از تغییرمکان سقف نبوده و به دلیل خیز سقف تحت بارهای ثقلی یا تغییرشکل آن در حین زلزله، هیچ نوع بار محوری بر دیوار تحمیل نشود. لذا لبه بالایی دیوار نباید به طور مستقیم به سقف متصل شده و لازم است لایهای جداکننده مابین آنها قرار گیرد. استفاده از پشم سنگ و با فوم یونولیت بدین منظور مناسب است.
اتصال دیوار به سقف باید تنها در جهت عمود بر صفحه برای دیوار قید ایجاد کرده و در جهت صفحه دیوار به صورت لغزشی (بدون قید) باشد. دو نمونه از اتصال دیوار به سقف در شکل 8 نشان داده شده است. نبشی و یا ناودانی مصرفی باید از فولاد گالوانیزه بوده و قادر به تحمل برش سهم لبه فوقانی دیوار باشد. در صورت عدم انجام محاسبات دقیقتر میتوان برش سهم هر لبه را از روی سطح باربر هر لبه تخمین زد (با رسم خطوطی با زاویه 45 درجه). براساس نیروی بدست آمده میتوان ضخامت بال و جوش مورد نیاز نبشی یا ناودانی به سقف را طراحی نمود.
در صورتی که اتصال از طریق پیچ یا انکربولت انجام شود، با داشتن برش وارد بر لبه و نیز ظرفیت برشی پیچها (یا انکربولت)، تعداد پیچها یا انکربولتهای مورد نیاز به دست آورده میشوند. همان طور که در شکل 8 نشان داده شده است، نیازی به تعبیه نبشی و یا ناودانی در سرتاسر طول دیوار نبوده و در اغلب موارد تعبیه چند قطعه نبشی یا ناودانی کافی خواهد بود. فواصل نبشیها و ناودانیهای منقطع نباید از 1.5 متر تجاوز کند. عرض بال نبشی یا ناودانی باید به نحوی باشد که حداقل 30 میلیمتر آن با دیوار در تماس باشد. با توجه به اینکه حداقل ضخامت لایه جداکننده (در اتصال دیوار به سقف) 10 میلیمتر است، لذا عرض بال نبشی و یا ناودانی نباید از 40 میلیمتر کمتر باشد.

کل نیروی خارج از صفحه وارده بر دیوار به صورت زیر میباشد. نیروی سهم هر یک از لبهها را میتوان براساس سطح باربر هر لبه مطابق شکل 9 به دست آورد.
![]()
در نتیجه اتصال لبه فوقانی لازم است برای بار خارج از صفحهای به صورت زیر طراحی شود.


تصمیم گرفته شده است که برای اتصالات جداکننده دیوار از دو عدد نبشی به همراه لایه جداکننده استفاده شود. ابعاد نبشی مورد نظر در شکل 9 نشان داده شده است. طول کل لازم برای نبشی براساس ظرفیت خمشی بال نبشی به صورت زیر به دست میآید. فرض شده است که مقاومت تسلیم نبشی 240 مگاپاسکال باشد.
لنگر پلاستیک بال نبشی با احتساب ضریب کاهش مقاومت برابر است با:

در نتیجه نیروی متناظر بر بال نبشی به صورت زیر به دست میآید:

که در آن t ضخامت بال نبشی است (در اینجا 2 میلیمتر) و e بازوی لنگر نیروی وارده بر بال نبشی میباشد (در اینجا 25 میلیمتر) با برابر قرار دادن Pp با Pcon عرض لازم برای نبشی b به صورت زیر به دست میآید (ضریب کاهش مقاومت برابر 0.9 میباشد).

در نتیجه کل طول لازم برای نبشی 4110 میلیمتر میباشد که باید به طور یکنواخت در لبه فوقانی دوار توزیع شود. از 9 عدد نبشی دوبل (در دو طرف دیوار) هر یک به طول 500 میلیمتر استفاده میشود. لایه جداکننده از جنس پشم سنگ به ضخامت 10 میلیمتر و عرض 120 میلیمتر میباشد.

اتصال دیوار به ستون
مطابق شکل 10 نیروی وارده بر لبه قائم دیوار برابر است با:

نتیجه برای اتصال دیوار به ستون میتوان از لایه جداکنندهای از جنس پشم سنگ به ضخامت 25 میلیمتر و عرض 120 میلیمتر استفاده شود. در این حالت لازم است برای اینکه دیوار تحت زلزله از مابین دو نبشی خارج نشود، عرض بال نبشی حدافل 2 برابر ضخامت لایه جداکننده به علاوه 30 میلیمتر باشد. بنابراین عرض بال نبشی برابر 80 میلیمتر در نظر گرفته میشود. حال طول مورد نیاز نبشی به صورت زیر به دست میآید:

در نتیجه کافی است از 2 جفت نبشی (در هر دو طرف دیوار) به منظور اتصال دیوار به ستون استفاده شود به طوری که طول هر یک از نبشیها 400 میلیمتر بوده و فاصله آنها از یکدیگر 2000 میلیمتر باشد. استفاده از نبشی با ضخامت کمتر از 2 میلیمتر توصیه نمیشود چرا که جوش ورقهای نازکتر از 2 میلیمتر به مهارت بالایی نیاز داشته و همواره میسر نمیباشد.
اتصالات به دست آمده برای دیوار به قاب به همراه سایر جزئیات در شکل 10 نشان داده شده است. با توجه به اینکه قاب فولادی میباشد، نبشیها میتوانند به تیرها و ستونها جوش شود. در مورد قابهای فولادی، پیچ کردن نبشیهای اتصال به المانهای سازهای تنها با تایید مهندس محاسب سازه امکانپذیر است.
اتصال گیردار دیوار به کف
طراحی اتصال گیردار دیوار به کف مطابق بند 6-4-1 نشریه 729 انجام خواهد شد. برای اتصال از آرماتور آجدار با قطر 10 میلیمتر استفاده میشود. قطر سوراخی که در کف بتنی ایجاد خواهد شد 25 میلیمتر بوده و از گروت اپوکسی برای اتصال استفاده میشود. طبق اطلاعاتی که از طرف سازنده گروت ارائه شده است، مقدار متوسط چسبندگی گروت به فولاد 15 مگاپاسکال و چسبندگی گروت به بتن 3 مگاپاسکال میباشد. فرض میشود که عمق سوراخ ایجاد شده در کف بتنی Le برابر 50 میلیمتر باشد.

حال با داشتن مقاومت خمشی طراحی قائم دیوار، فواصل لازم برای میلگردهای دارای خم 180 درجه را تعیین نمود.

بنابراین میلگردها باید در هر 900 میلیمتر در طول دیوار کاشته شوند. حداقل طول بیرون زدگی میلگردها نیز از رابطه 6-4 برابر است با:

جزئیات به دست آمده برای اتصال دیوار به کف در شکل 11 نشان داده شده است.

